产品展示

Biotin-Dde
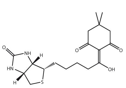
 结 构 式:

194038-08-9.png

 产品名称:Biotin-Dde
 英文名称:2-(1-hydroxy-5-((3aS,4S,6aR)-2-oxohexahydro-1H-thieno[3,4-d]imidazol-4-yl)pentylidene)-5,5-dimethylcyclohexane-1,3-dione
 CAS 号:194038-08-9
 外  观:
 纯  度:>98%


相关产品